Помогите, пожалуйста. За лето всё немного подзабылось, поэтому и прошу помощи.
Только "а" и "б". Желательно поподробней. Но можно и без этого. Заранее спасибо с:
Приложения:

Ответы
Ответ дал:
0
x²+4x-2=0
x1+x2=-4 U x1*x2=-2
a)x1²+x2²=(x1+x2)²-2x1x2=(-4)²-2*(-2)=16+4=20
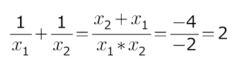
b)1/x1+1/x2=(x1+x2)/x1x2=-4/(-2)=2
x1+x2=-4 U x1*x2=-2
a)x1²+x2²=(x1+x2)²-2x1x2=(-4)²-2*(-2)=16+4=20
b)1/x1+1/x2=(x1+x2)/x1x2=-4/(-2)=2
Ответ дал:
0
т.Виета:
x₁ * x₂ = с =-2
x₁ + x₂ = -b = -4
x₁^2 + x₂^2 = x₁^2 + x₂^2 + 2x₁*x₂ - 2x₁*x₂ =
= (x₁ + x₂)^2 - 2*(x₁ * x₂) = (-4)² - 2*(-2) = 16+4 = 20
---------------------------------------------------------------------------
x₁ * x₂ = с =-2
x₁ + x₂ = -b = -4
x₁^2 + x₂^2 = x₁^2 + x₂^2 + 2x₁*x₂ - 2x₁*x₂ =
= (x₁ + x₂)^2 - 2*(x₁ * x₂) = (-4)² - 2*(-2) = 16+4 = 20
---------------------------------------------------------------------------
Приложения:

Вас заинтересует
2 года назад
7 лет назад
7 лет назад
10 лет назад