• Предмет: Алгебра
  • Автор: waeshj
  • Вопрос задан 11 лет назад

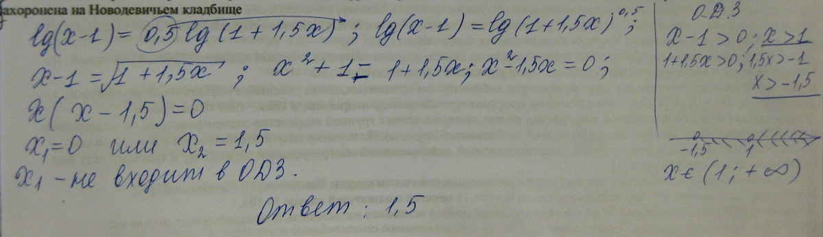
lg(x-1)=0.5 lg(1+1.5 x)

Ответы

Ответ дал: basssic
0

Решение во вложении. х=3.5, так как Х с учетом ОДЗ должен быть больше 1.

Приложения:
Ответ дал: 1695
0

Обязательно учтите ОДЗ.Решение на картинке.При возведении всего уравнения в квадрат у части справа уничтожается корень,слева у х появляется квадрат, а -1 в квадрате даст 1=> х^2+1=...

Приложения:
Вас заинтересует