• Предмет: Математика
  • Автор: KeFiRcHiKmikki
  • Вопрос задан 10 лет назад

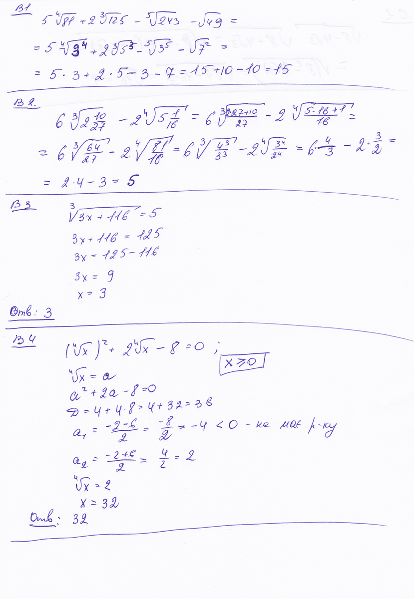
Помогите пожалуйста решить работу по теме "Понятие корня n-й степени из действительного числа

Приложения:

Ответы

Ответ дал: igortym777
0
смотри фото
____________
Приложения:
Вас заинтересует