Ответы
Ответ дал:
0
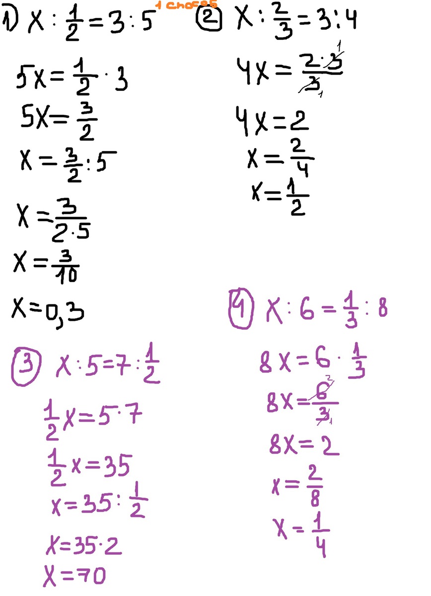
Для решения пропорции нужно использовать основное свойство пропорции: произведение крайних членов пропорции равно произведению её средних членов.
Решение с использованием этого свойства в первом вложении.
Из основного свойства пропорции можно вывести правило нахождения неизвестного члена пропорции.
1) Для того, чтобы найти неизвестный средний член пропорции, надо перемножить крайние члены пропорции и разделить на известный средний член.
2) Для того, чтобы найти неизвестный крайний член пропорции, нужно перемножить средние члены и произведение разделить на известный крайний член.
Решение с использованием этих правил находится во втором вложении.
Sunny Storm (Darknight)
Решение с использованием этого свойства в первом вложении.
Из основного свойства пропорции можно вывести правило нахождения неизвестного члена пропорции.
1) Для того, чтобы найти неизвестный средний член пропорции, надо перемножить крайние члены пропорции и разделить на известный средний член.
2) Для того, чтобы найти неизвестный крайний член пропорции, нужно перемножить средние члены и произведение разделить на известный крайний член.
Решение с использованием этих правил находится во втором вложении.
Sunny Storm (Darknight)
Приложения:
Вас заинтересует
3 года назад
8 лет назад
10 лет назад
11 лет назад