Ответы
Ответ дал:
0
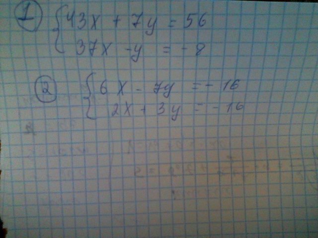
1)43x+7y=56
37x-y=-8/*7⇒259x-7y=-56
302x=0
x=0
0-y=-8
y=8
(0;8)
2)6x-7y=-16
2x+3y=-16/*(-3)⇒-6x-9y=48
-16y=32
y=-2
2x-6=-16
2x=-10
x=-5
(-5;-2)
37x-y=-8/*7⇒259x-7y=-56
302x=0
x=0
0-y=-8
y=8
(0;8)
2)6x-7y=-16
2x+3y=-16/*(-3)⇒-6x-9y=48
-16y=32
y=-2
2x-6=-16
2x=-10
x=-5
(-5;-2)
Ответ дал:
0
Решение в фотке:
----------------------------------
----------------------------------
Приложения:


Вас заинтересует
2 года назад
7 лет назад
7 лет назад
10 лет назад
10 лет назад