• Предмет: Геометрия
  • Автор: kiraklasm1
  • Вопрос задан 10 лет назад

Помогите решить, даю 80 баллов
Точки А (4, 2,-1); С (-4, 2, 1); D (7,-3, 4) вершины параллелограмма ABCD. Найти координаты вершины В.

Ответы

Ответ дал: MrSom
0
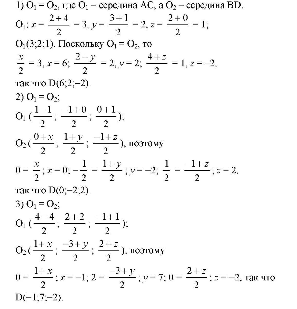
3ее решение,все должно быть правильно
Приложения:
Вас заинтересует