Ответы
Ответ дал:
0
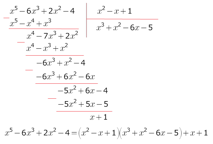
решение во вложениииииииииииииииииииииииииии
Приложения:

Ответ дал:
0
скину в личку решение методом неопределенных коэффициентов
Ответ дал:
0
и всегда нужно делать проверку...
(раскрывать скобки))) чтобы не было ошибок...
(раскрывать скобки))) чтобы не было ошибок...
Приложения:

Вас заинтересует
2 года назад
2 года назад
7 лет назад
7 лет назад
10 лет назад
10 лет назад