Ответы
Ответ дал:
0
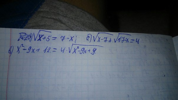
а)система уравнений
x+5=49-14x+x²
x<=7
получим x1=11
x2=4
но x <=7, значит Ответ:4
в)
пусть √(x²-9x+9)=t;
t+3=4t⇒t=1
x²-9x+9=1;
x²-9x-8=0;
и решаешь это уравнение,учитывая, что x²-9x+9>=0
x+5=49-14x+x²
x<=7
получим x1=11
x2=4
но x <=7, значит Ответ:4
в)
пусть √(x²-9x+9)=t;
t+3=4t⇒t=1
x²-9x+9=1;
x²-9x-8=0;
и решаешь это уравнение,учитывая, что x²-9x+9>=0
Вас заинтересует
2 года назад
8 лет назад
8 лет назад
10 лет назад
10 лет назад
11 лет назад