• Предмет: Алгебра
  • Автор: Мариша015
  • Вопрос задан 10 лет назад

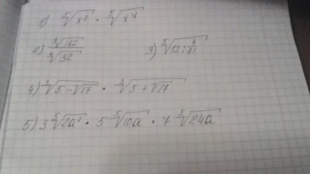
ПОМОГИТЕ прошууууууу) по шагам всё)

Приложения:

Ответы

Ответ дал: ВладимирБ
0
Решение смотри в приложении
Приложения:
Ответ дал: Аноним
0
1)x ^{8/5}*x ^{7/5} =x^3 <br />[tex]2) sqrt[4]{162/32} = sqrt[4]{81/16} =3/2=1,5
3) sqrt[5]{12*81/4} = sqrt[5]{243} =3
4) sqrt[3]{(5- sqrt{17})(5+ sqrt{17})  }= sqrt[3]{25-17}= sqrt[3]{8}=2
5)105 sqrt[5]{2a^2*10a*24a} =105 sqrt[5]{480a^4} =105*2 sqrt[5]{15a^4} =210 sqrt[5]{15a^4}
Приложения:
Вас заинтересует