• Предмет: Алгебра
  • Автор: ssubmarine
  • Вопрос задан 10 лет назад

Помогите, пожалуйста, решить интеграл!

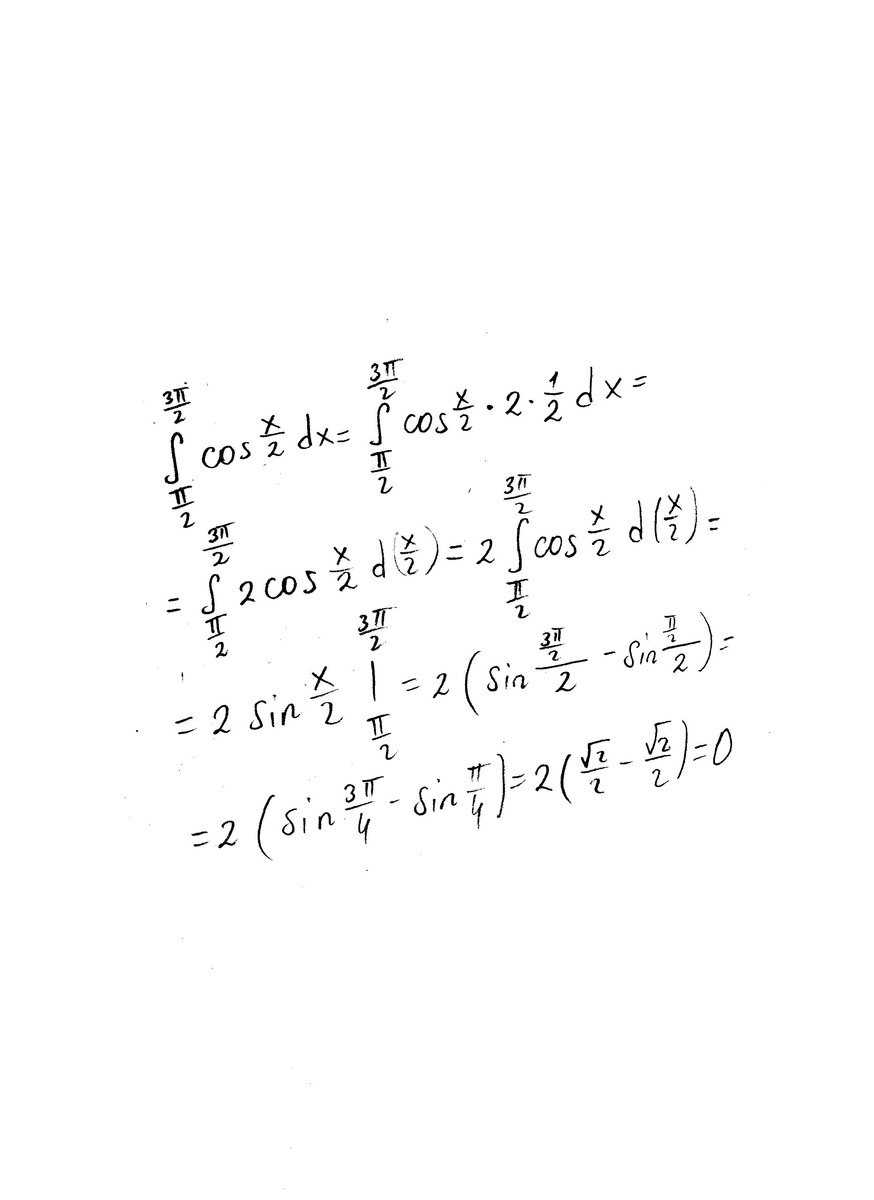
Нижний предел интегрирования П/2
Верхний предел 3П/2

Сам интеграл:cos(x/2)*dx

Ответы

Ответ дал: bearcab
0
Решение в приложении. Ответ: 0.
Приложения:
Ответ дал: ssubmarine
0
Большое спасибо!
Вас заинтересует