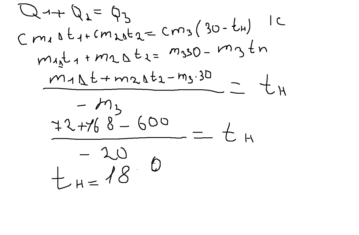
Смешали 6 кг воды при 42 °С, 4 кг воды при 72 °С и 20 кг воды при неизвестной температуре. Определите эту температуру, если установившаяся температура равна 30 °С.
26 °С;
18 °С;
38 °С;
25 °С;
Смешано 24 л воды при 12 °С и 40 л воды при 80 °С. Определите тепловые потери, если установилась температура 53 °С.
420 Дж;
4200 Дж
420 кДж;
4,2 МДж
Ответы
Ответ дал:
0
,,,,,,,,,,,,,,,,,,,,,,,,,,,
Приложения:


Вас заинтересует
2 года назад
2 года назад
7 лет назад
10 лет назад
10 лет назад
10 лет назад