• Предмет: Математика
  • Автор: аытрчт
  • Вопрос задан 10 лет назад

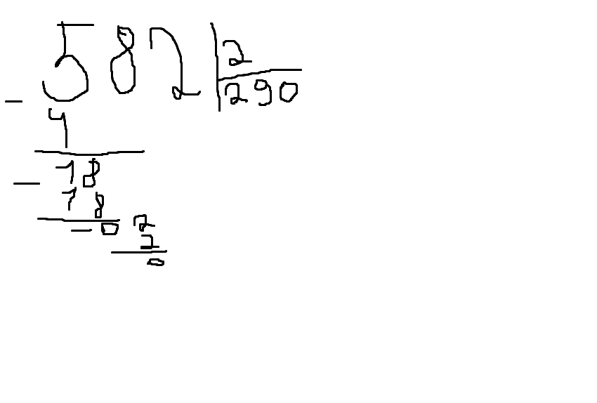
как разделить столбиком 582:2

Ответы

Ответ дал: cim01
0
не знаю видно нет?но я думаю так!1
Приложения:
Вас заинтересует