• Предмет: Алгебра
  • Автор: ashotik23
  • Вопрос задан 11 лет назад

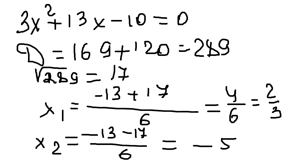
3x в квадрате + 13x -10=0

Ответы

Ответ дал: NatashaKH
0

воттт..................................

Приложения:
Ответ дал: zhircow2010
0

3x^2+13x-10=0

D=169+120=289

x(1)=-13-17/6=-5

x(2)=-13+17/6=4/6=2/3

Приложения:
Вас заинтересует