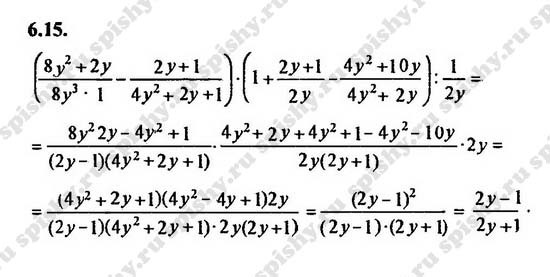
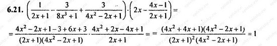
Очень прошу, объясните как решать данные номера, именно понятное ОБЪЯСНЕНИЕ, решение уже есть.
Приложения:
Ответа на этот вопрос пока нет. Попробуйте найти его через форму поиска.
Вас заинтересует
3 года назад
3 года назад
8 лет назад
10 лет назад
10 лет назад
11 лет назад