• Предмет: Алгебра
  • Автор: mibae
  • Вопрос задан 10 лет назад

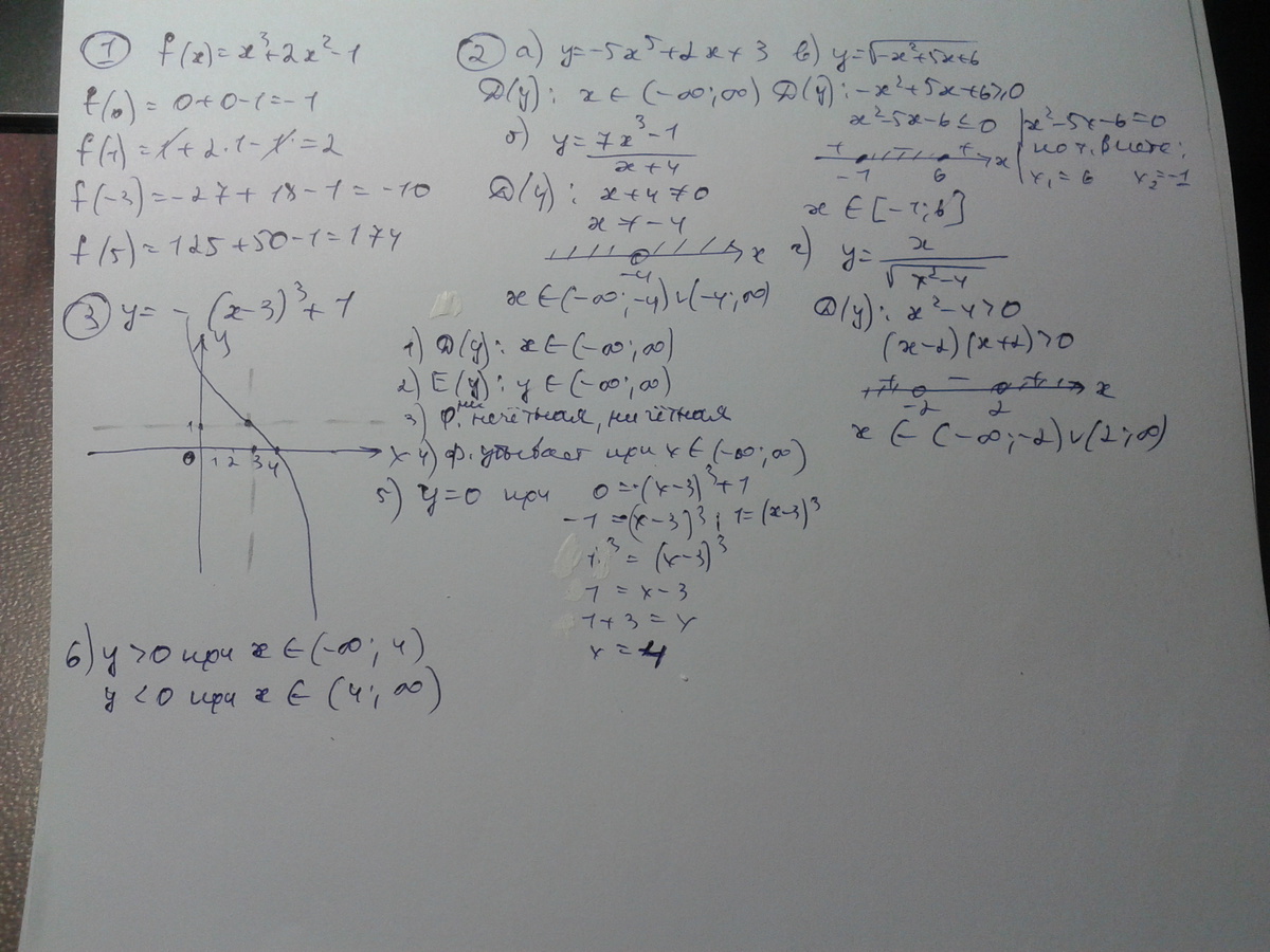
1) Для функции f (x) = x^3 + 2x^2 - 1
Найти f (0),f (1),f (-3),f (5).
2) Найти область определения функции,если:
а) y= -5x^5 + 2x + 3 ; б) y= 7x^3 - 1 / x + 4 ;
в) y= корень -x^2 + 5x + 6 ; г) y= x / корень x^2 - 4.
3) Построить график функции и исследовать его:
y = - (x-3)^3 + 1. Помогите пожалуйста,очень нужно)

Ответы

Ответ дал: irinan2014
0
Всё подробно написала в решении.
Приложения:
Ответ дал: mibae
0
Спасибо большое)
Вас заинтересует