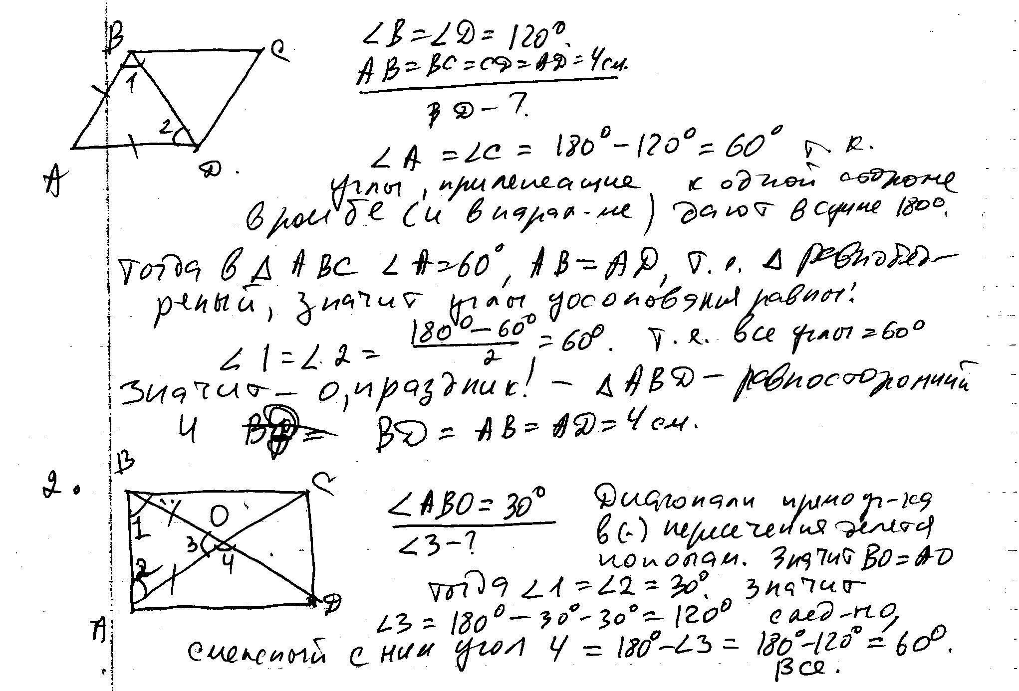
1.Сторона ромба с углом 120 градусов равна 4 см. Найдите его меньшую диагональ.
2. Диагонали прямоугольника АВСD пересекаются в точке О. Найдите угол между диагоналями, если угол АВО равен 30 градусов.
Ответы
Ответ дал:
0
решение в скане.....................
Приложения:

Вас заинтересует
2 года назад
10 лет назад
10 лет назад
10 лет назад