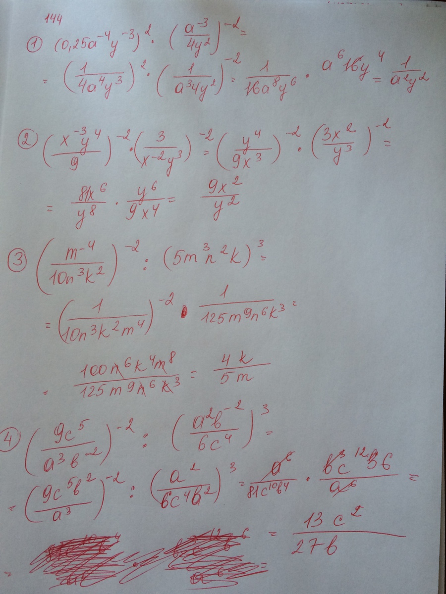
Упростите выражение(№144). Если можно то фоткой и желательно аккуратно :) Почерк не имеет значения. Извините за качество.
Приложения:
Ответы
Ответ дал:
0
Смотри вложение, но перепроверь, потому что некоторые показатели степени вообще не видно или очень плохо. Поэтому у меня есть сомнения. Будут вопросы, пиши!
Приложения:
Ответ дал:
0
Спасибо, там во всех примерах по 2 неверных показателей степеней. И так сойдет. Скажу что, не так списал. Спасибо
Вас заинтересует
3 года назад
3 года назад
8 лет назад
8 лет назад
10 лет назад
10 лет назад
11 лет назад