• Предмет: Алгебра
  • Автор: Albinochka1901
  • Вопрос задан 10 лет назад

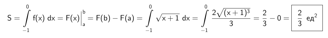
Вычислите пожалуйста интеграл:

Приложения:

Ответы

Ответ дал: SkyBy
0
Смотрите решение в прикреплённом файле.

Приложения:
Вас заинтересует