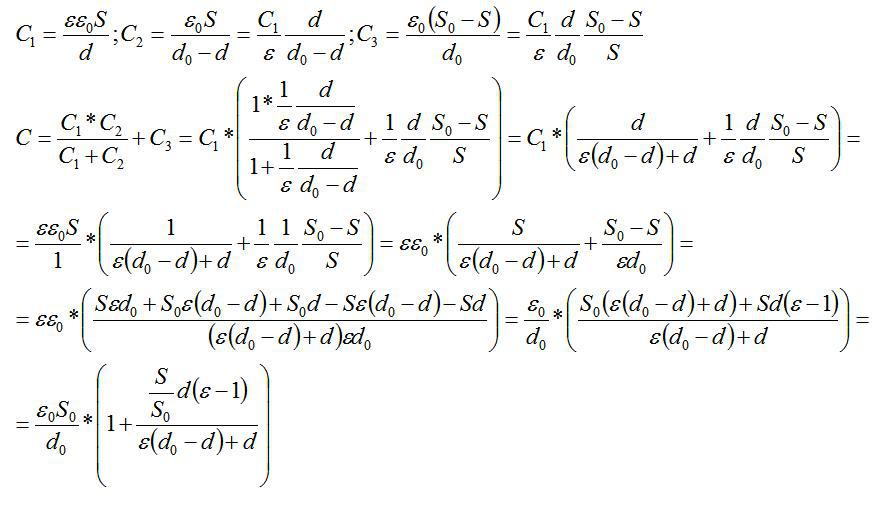
Определить емкость конденсатора с площадью пластин S0 и расстоянием D0 между ними, если в нем находится диэлектрическая пластина площадью S и толщиной D с диэлектрической проницаемостью E.
Приложения:
Ответы
Ответ дал:
0
у меня ответ получился другой
вероятно разбивали конденсатор по-другому
первые два вложения соответствуют тому как я бы решал
два другие соответствуют ответу в учебнике
выбирать Вам !
вероятно разбивали конденсатор по-другому
первые два вложения соответствуют тому как я бы решал
два другие соответствуют ответу в учебнике
выбирать Вам !
Приложения:
Вас заинтересует
2 года назад
2 года назад
8 лет назад