• Предмет: Математика
  • Автор: dreamsu
  • Вопрос задан 11 лет назад

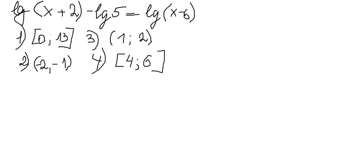
Укажите промежуток,которому принадлежит корень уравнения (или их сумма ,если корней несколько) вложения внутри

Приложения:

Ответы

Ответ дал: nelle987
0

lg(x+2)=lg5+lg(x-6)

lg(x+2)=lg(5x-30)

x+2=5x-30

4x=32

x=8


Подставновкой убеждаемся, что это ответ.

[0,13]

Вас заинтересует