• Предмет: Математика
  • Автор: dreamsu
  • Вопрос задан 11 лет назад

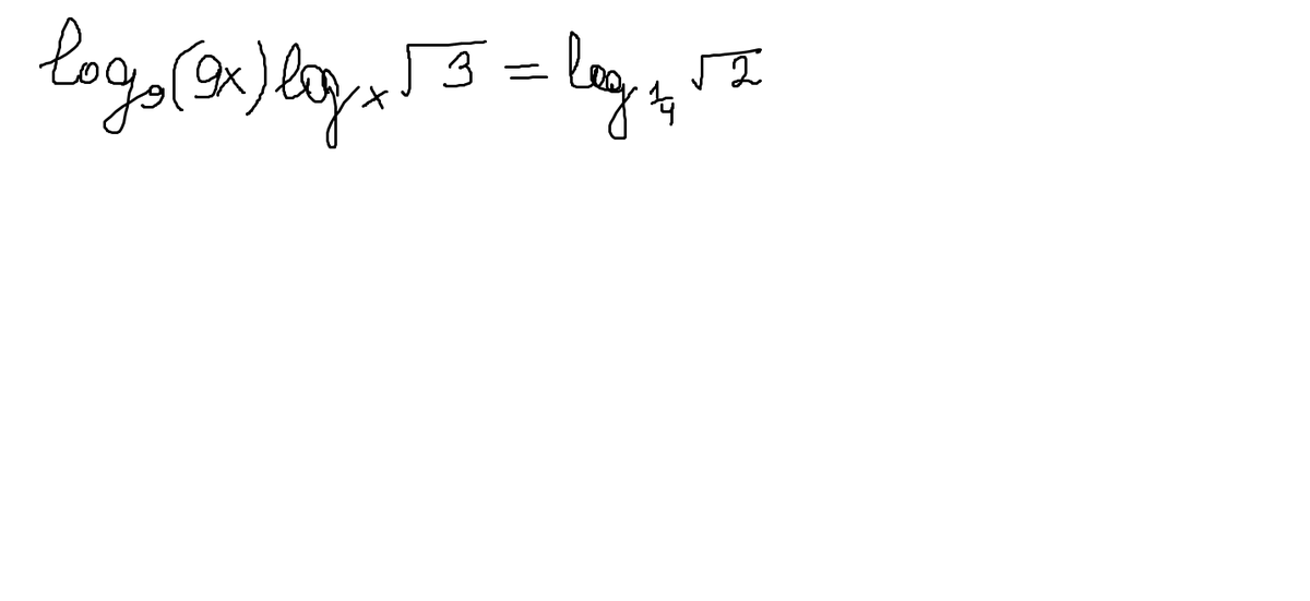
помогите пожалуйста срочно надоо!!вложения внутри. решить уравнение

Приложения:

Ответы

Ответ дал: nelle987
0

log_xsqrt3=log_{x^4}9=dfrac1{log_9x^4}

log_99xcdotlog_xsqrt3=dfrac{log_99x}{log_9x^4}=log_{x^4}9x=dfrac14log_x9x=dfrac14(1+log_x9)

log_{1/4}sqrt2=log_{2^{-2}}2^{1/2}=-dfrac14

Как ни странно, все переходы выше были равносильными.

 

dfrac14(1+log_x9)=-dfrac14

1+log_x9=-1

log_x9=-2

x=9^{-1/2}=dfrac13

Вас заинтересует