• Предмет: Математика
  • Автор: dreamsu
  • Вопрос задан 11 лет назад

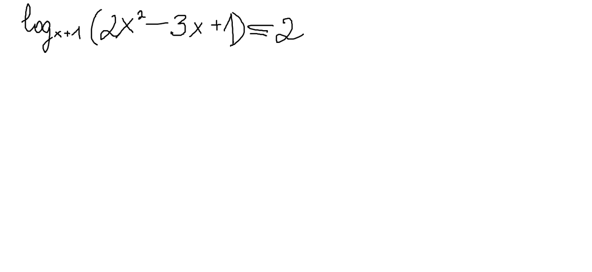
решите неравенство

вложение внутри

Приложения:

Ответы

Ответ дал: nelle987
0

log_{x+1}(2x^2-3x+1)leqslant2

log_{x+1}dfrac{2x^2-3x+1}{(x+1)^2}leqslant0

xcdotleft(dfrac{2x^2-3x+1}{(x+1)^2}-1right)leqslant0\ xcdotdfrac{x^2-5x}{(x+1)^2}leqslant0\ dfrac{x^2(x-5)}{(x+1)^2}leqslant0\ xin(-infty,-1)cup(-1,5]

Найдем ОДЗ:

leftlbracebegin{array}{l}x+1>0\x+1ne1\2x^2-3x+1>0end{array}right.\ leftlbracebegin{array}{l}x+1>0\x+1ne1\(2x-1)(x-1)>0end{array}right.\ xin(-1,0)cup(0,frac12)cup(1,+infty)

 

Пересекая оба множества, получим ответ

xin(-1,0)cup(0,frac12)cup(1,5]

 

Вас заинтересует