• Предмет: Алгебра
  • Автор: Jkaae
  • Вопрос задан 10 лет назад

Решите пределы, пожалуйста

Приложения:

Ответы

Ответ дал: Аноним
0
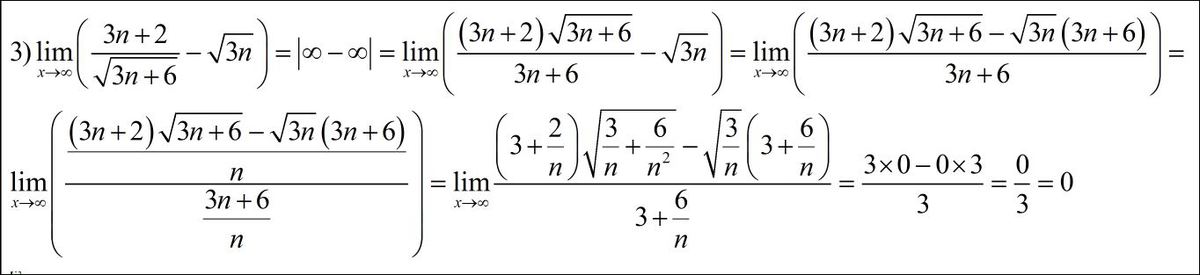
решение смотри во вложении
1)...-4(√4/(-2√2)=4/√2=2√2
Приложения:
Ответ дал: Jkaae
0
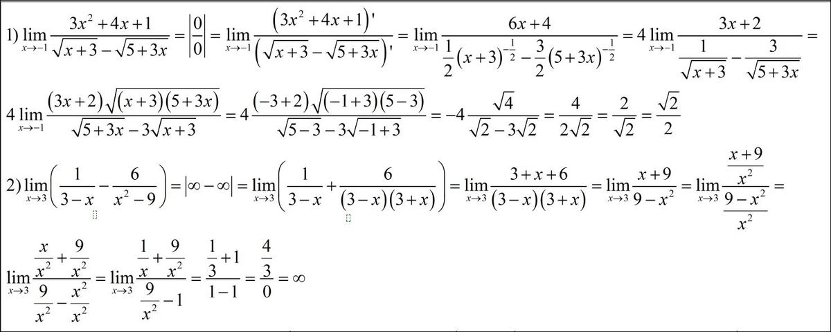
3-ий пример именно N -> ∞
Вас заинтересует