• Предмет: Алгебра
  • Автор: Koployd
  • Вопрос задан 10 лет назад

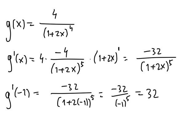
найдите g'(-1), если g(x)=4/(1+2x)^4

Ответы

Ответ дал: nikolac
0
Решение на картинке.
Приложения:
Ответ дал: Koployd
0
спасибо огромное
Ответ дал: nikolac
0
Пожайуйста
Вас заинтересует