• Предмет: Алгебра
  • Автор: ЕнотЕнотыч
  • Вопрос задан 10 лет назад

Помогите, пожалуйста!
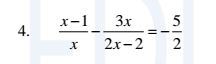
Тема : рациональные уравнения. Простые замены.
В ответе: 2 и  frac{1}{4}

Приложения:

Ответа на этот вопрос пока нет. Попробуйте найти его через форму поиска.

Вас заинтересует