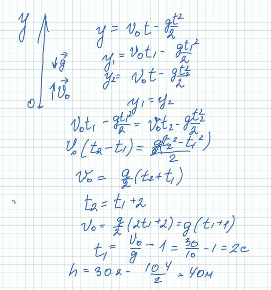
Тело брошено вертикально со скоростью 30 м/с. В некоторой точке А тело побывало дважды с интервалом 2с. Определите высоту, на которой находиться точка А. /Прошу показать полное решение задачи/
Ответы
Ответ дал:
0
Задача на движение тела, брошенного вверх с начальной скорость
Приложения:

Вас заинтересует
2 года назад
2 года назад
7 лет назад
10 лет назад
10 лет назад