• Предмет: Алгебра
  • Автор: imanika
  • Вопрос задан 10 лет назад

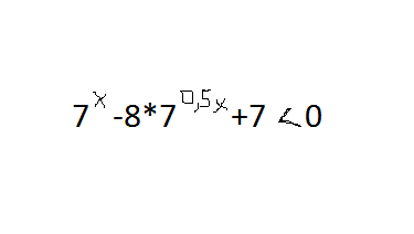
Помогите пожалуйста решить неравенство

Приложения:

Ответы

Ответ дал: ВладимирБ
0
Решение смотри в приложении
Приложения:
Ответ дал: imanika
0
Спасибо большооооееее*******
Ответ дал: imanika
0
http://skrinshoter.ru/s/041115/C37hnn а вот это что за число?
Вас заинтересует