• Предмет: Математика
  • Автор: катя1912
  • Вопрос задан 10 лет назад

Решите пожалуйста ❤️❤️❤️
Система уравнений )
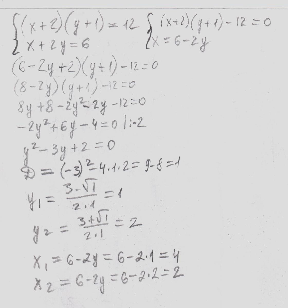
{(x+2)(y+1)=12;
{x+2y=6
Это одна система , только распишите пожалуйста )

Ответы

Ответ дал: oksa2705
0
xy + x +2y +2-12 = 0        x + 2y = 6 xy + x +2y -10 = 0x= 6-2y ( 6-2y)*y +2y +( 6 - 2y) - 10=06y -2y (квадрат) +2y+6-2y-10=02y (квадрат)-6y+4=0y (квадрат)-3y+2=0Д =9-8=1y1=2               x1=6-4=2y2=1              x2=6-2=4
Ответ дал: катя1912
0
а как ты уравнение получил(а) и где само уравнение написанно ничего не понятно .
Ответ дал: Косинус13
0
...............................................
Приложения:
Вас заинтересует