• Предмет: Алгебра
  • Автор: mbusterden
  • Вопрос задан 11 лет назад

Помогите решить задание

Показать ход решения 

Приложения:

Ответы

Ответ дал: dtnth
0

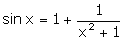
Квадрат любого выражения неотрицателен, поэтому

x^2 geq 0;, причем равенство достигается только в случае х=0

Далее по основным свойствам арифмитических неравенств

x^2+1 geq 1;\ 0<frac{1}{x^2+1} leq 1;\ 1<1+frac{1}{x^2+1} leq 2;

 

По свойствам функции синус

Для любого действительного х справедливо

sin x leq 1

Левая часть уравнения не больше 1, а правая больше 1, значит данное уравнение решений не имеет

Вас заинтересует