Ответы
Ответ дал:
0
забыла ответ вверху вписать делала по частям надеюсь нет ошибок
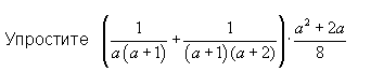
на второй картинке сначала переписать скобку, потом=
там словами написано "скобка равна"
на второй картинке сначала переписать скобку, потом=
там словами написано "скобка равна"
Приложения:
Ответ дал:
0
Как фотку вставить?
Вас заинтересует
2 года назад
2 года назад
8 лет назад
8 лет назад
10 лет назад
11 лет назад