• Предмет: Алгебра
  • Автор: Dima194289
  • Вопрос задан 10 лет назад

решите пожалуйста........

Приложения:

Ответы

Ответ дал: Lill1998
0
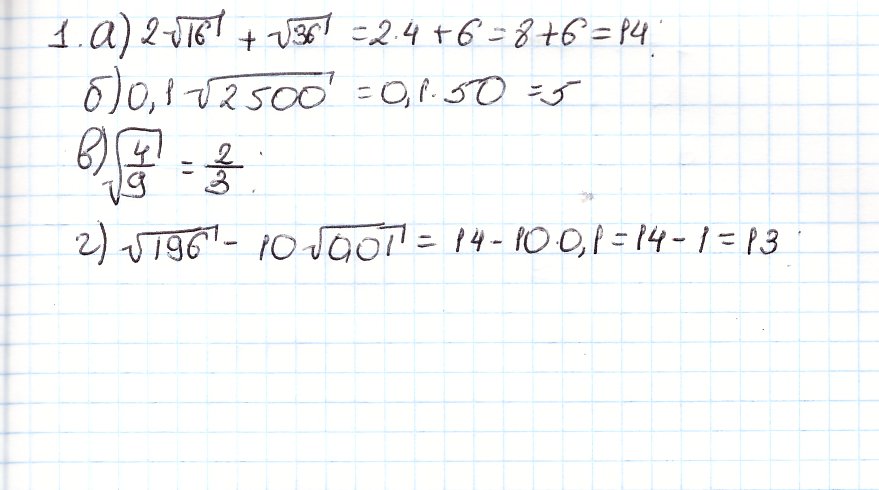
Решила!))Посмотри)))
Приложения:
Ответ дал: Lill1998
0
ты в каком классе?
Ответ дал: Dima194289
0
если я вопросы буду по урокам задавать вк я сильно вас отвликать буду?
Ответ дал: Dima194289
0
8 .
Ответ дал: Lill1998
0
Я вк редко захожу,у меня к ЕГЭ подготовка,так что извини)
Ответ дал: Dima194289
0
ясно, жаль
Ответ дал: svetikponomare
0
1) 2 √ 16 + √ 36= 2*4+6=14
2) 0,1 √2500=0.1 * 50=5
3)
√4/9=2/3
4)
√196 - 10√0,01=14 -10*0.1=14-1=13
Вроде так
Приложения:
Вас заинтересует