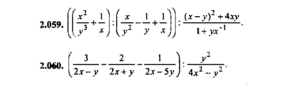
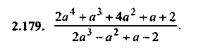
Помогите, Очень Прошу! №6.272 Деление выполнить. Остальное Решить.
Баллами, Не Обижу!;)
Приложения:



Ответа на этот вопрос пока нет. Попробуйте найти его через форму поиска.
Вас заинтересует
2 года назад
7 лет назад
7 лет назад
10 лет назад
10 лет назад
10 лет назад
10 лет назад