Ответы
Ответ дал:
0
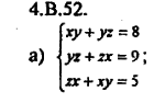
пусть S=xy+xz+yz
сложим все 3 уравнения:
xy+yz+yz+zx+zx+xy=8+9+5=22
2xy+2yz+2zx=22|/2
xy+yz+zx=11
S=11
теперь последовательно вычитаем из получившегося уравнения все 3 изначальных
S-xy-yz=11-8
zx=3
S-yz-zx=11-9
xy=2
S-zx-xy=11-5
yz=6
теперь мы получили новую систему из 3 уравнений:
zx=3
xy=2
yz=6
перемножим все 3 уравнения
zx*xy*yz=3*2*6
x^2*y^2*z^2=36
(xyz)^2=36
1) xyz=6
далее делим получившееся уравнения, на 3 исходных последовательно:
xyz/zx=6/3
y=2
xyz/xy=6/2
z=3
xyz/yz=6/6
x=1
(1;2;3)
2) те же числа, но с противоположным знаком
Ответ: (1;2;3) и (-1;-2;-3)
сложим все 3 уравнения:
xy+yz+yz+zx+zx+xy=8+9+5=22
2xy+2yz+2zx=22|/2
xy+yz+zx=11
S=11
теперь последовательно вычитаем из получившегося уравнения все 3 изначальных
S-xy-yz=11-8
zx=3
S-yz-zx=11-9
xy=2
S-zx-xy=11-5
yz=6
теперь мы получили новую систему из 3 уравнений:
zx=3
xy=2
yz=6
перемножим все 3 уравнения
zx*xy*yz=3*2*6
x^2*y^2*z^2=36
(xyz)^2=36
1) xyz=6
далее делим получившееся уравнения, на 3 исходных последовательно:
xyz/zx=6/3
y=2
xyz/xy=6/2
z=3
xyz/yz=6/6
x=1
(1;2;3)
2) те же числа, но с противоположным знаком
Ответ: (1;2;3) и (-1;-2;-3)
Вас заинтересует
3 года назад
3 года назад
8 лет назад
8 лет назад
10 лет назад
10 лет назад