Ответы
Ответ дал:
0
1. Площадь трапеции равна средней линии умноженной на высоту. Т.е если ввести обозначения:
a — нижнее основание
b — верхнее основание
с — средняя линия
d — боковая сторона
h — высота
S — площадь трапеции
P — периметр трапеции,
тогда получаем:
S=c*h, с=(a+b)/2 (средняя линия равна полусумме оснований). Тогда получаем:
S=(a+b)*h/2
Отссюда h=2*S/(a+b)
Теперь напишем формулу для периметра:
P=a+b+2*d, отсюда
a+b=P-2*d
Подставляем эту формулу в формулу h=2*S/(a+b) и получаем:
h=2*S/(P-2*d)=2*44/(32-2*5)=4
2.
a — нижнее основание
b — верхнее основание
с — средняя линия
d — боковая сторона
h — высота
S — площадь трапеции
P — периметр трапеции,
тогда получаем:
S=c*h, с=(a+b)/2 (средняя линия равна полусумме оснований). Тогда получаем:
S=(a+b)*h/2
Отссюда h=2*S/(a+b)
Теперь напишем формулу для периметра:
P=a+b+2*d, отсюда
a+b=P-2*d
Подставляем эту формулу в формулу h=2*S/(a+b) и получаем:
h=2*S/(P-2*d)=2*44/(32-2*5)=4
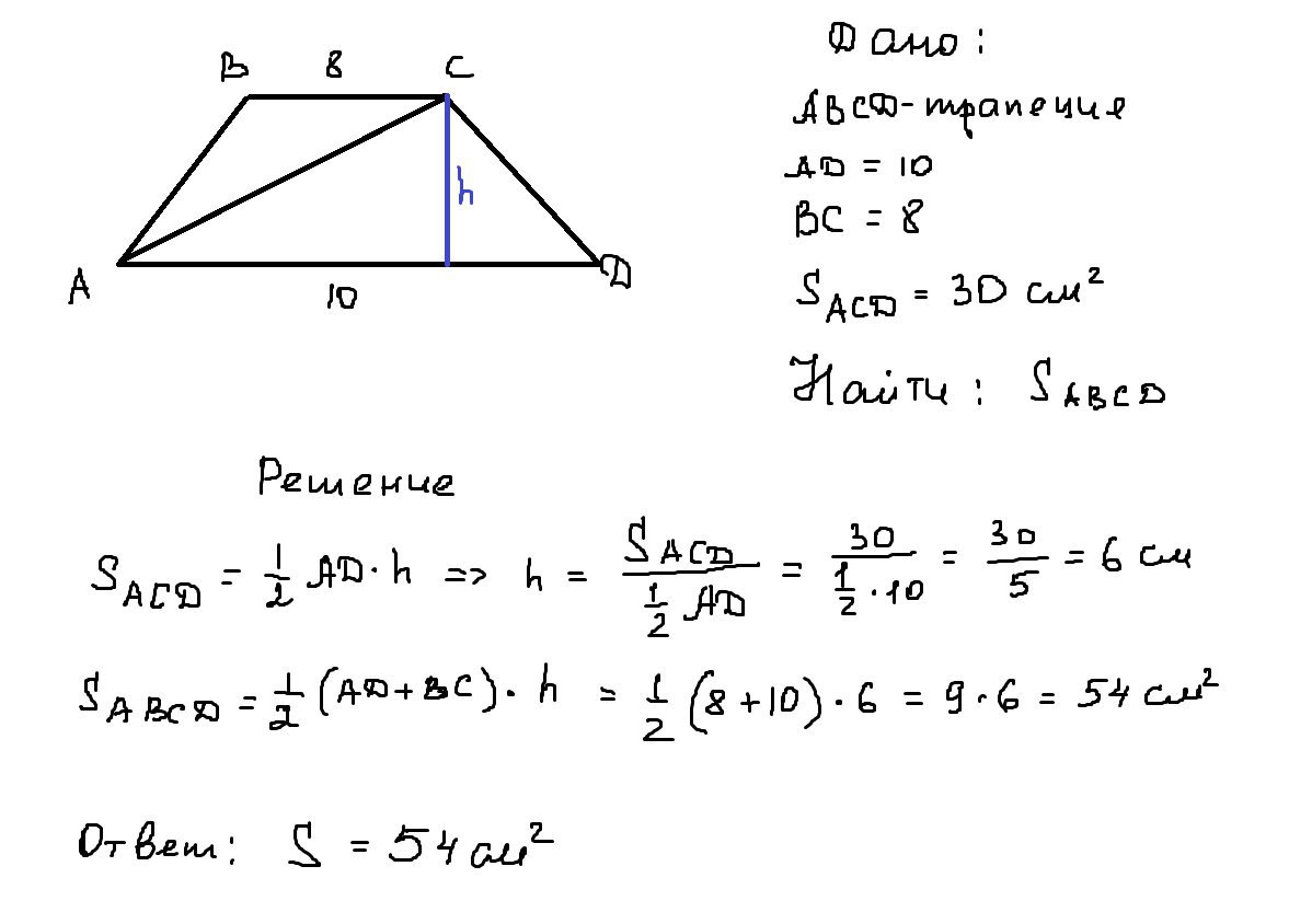
2.
Приложения:

Вас заинтересует
2 года назад
2 года назад
7 лет назад
10 лет назад
10 лет назад
10 лет назад