Задание с выбором ответа.
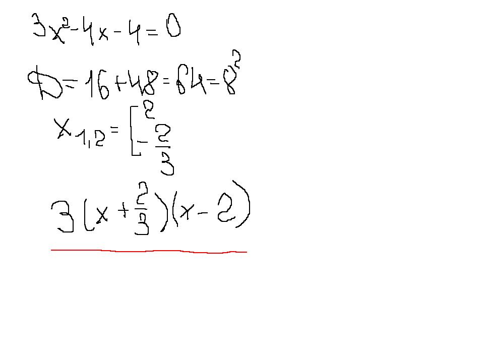
В каком случае представлено разложение квадратного трёхчлена 3x²-4x-4 на линейные множители?
А) (х+2/3) (x-2)
Б) (x-2/3) (x-2)
B) 3(х+2/3) (x-2)
Г) 3(x-2/3) (x-2)
Ответы
Ответ дал:
0
см.вложения
ответ В).......................
Приложения:

Вас заинтересует
2 года назад
8 лет назад
10 лет назад
10 лет назад