Ответы
Ответ дал:
0
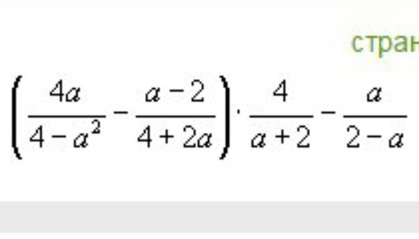
1)4a/(2-a)(2+a)-(a-2)/2(2+a)=(8a-2a+4+a²-2a)/2(2-a)(2+a)=(a²+4a+4)/2(2-a)(2+a)=
=(a+2)²/2(2-a)(2+a)=(a+2)/2(2-a)
2)(a+2)/2(2-a)*4/(a+2)=2/(2-a)
3)2/(2-a)-a/(2-a)=(2-a)/(2-a)=1
=(a+2)²/2(2-a)(2+a)=(a+2)/2(2-a)
2)(a+2)/2(2-a)*4/(a+2)=2/(2-a)
3)2/(2-a)-a/(2-a)=(2-a)/(2-a)=1
Вас заинтересует
2 года назад
2 года назад
8 лет назад
10 лет назад
10 лет назад
10 лет назад