• Предмет: Алгебра
  • Автор: filinenok98
  • Вопрос задан 10 лет назад

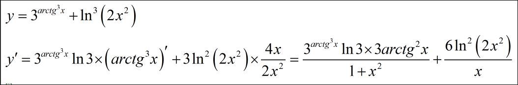
Найдите производную пожалуйста:

Приложения:

Ответы

Ответ дал: Аноним
0
решение смотри во вложении
Приложения:
Ответ дал: filinenok98
0
Спасибо.))
Вас заинтересует