• Предмет: Алгебра
  • Автор: daisy99
  • Вопрос задан 11 лет назад

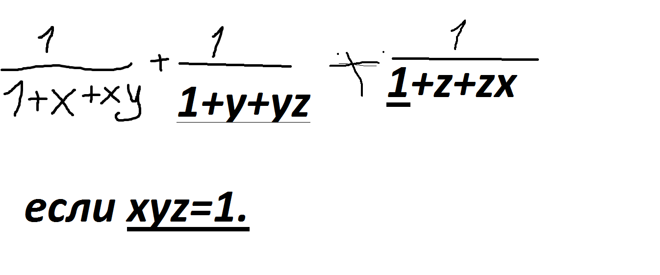
Найдите сумму дробей: (во вложении)

Приложения:

Ответы

Ответ дал: Denik777
0
Т.к. xyz=1, то непосредственной проверкой убеждаемся, что 1/(1+y+yz)=x/(1+x+xy) и 1/(1+z+zx)=xy/(1+x+xy). Отсюда исходное выражение равно 1/(1+x+xy)+x/(1+x+xy)+xy/(1+x+xy)=1.
Вас заинтересует