• Предмет: Математика
  • Автор: Gellermariya
  • Вопрос задан 10 лет назад

Решите уравнение плиз 77+8*(×-5)=125

Ответы

Ответ дал: MrFazan
0
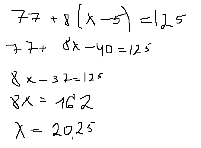
Решается вот так вот, Думаю что правильно решил

Приложения:
Ответ дал: MrFazan
0
Пожалуйста поставь как лучший ответ, заранее спасибо
Ответ дал: Анастасия2543
0
если она напишет 20,25,то учитель подчеркнёт. в математике решают так либо в физике или в 11 классе,точно не знаю.
Ответ дал: Анастасия2543
0
77+8(х-5)=125 
8*(х-5)-127-77
8*(х-5)=48
х-5=48:8
х-5=6
х=6+5
х=11
77+8*(11-5)=125
125=125

Приложения:
Ответ дал: Gellermariya
0
Анастасия спасибо большое
Ответ дал: MrFazan
0
Неправильно решено
Ответ дал: Анастасия2543
0
у тебя не правильно, у меня всё правильно. Я его тоже решала в домашке,и мне учительница поставила 5! Ничего не знаю!
Вас заинтересует