• Предмет: Алгебра
  • Автор: Dasha691D
  • Вопрос задан 10 лет назад

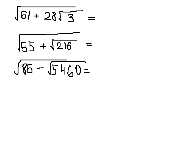
Задали дополнительное задание по алгебре.(8 класс) Такое на базовой программе не проходят. Помогите решить.

Приложения:

Ответы

Ответ дал: Аноним
0
1) sqrt{(7+2 sqrt{3})^2 } =7+2 sqrt{3}
2) sqrt{(1+3 sqrt{6} )^2} =1+3 sqrt{6}
Вас заинтересует