Ответы
Ответ дал:
0
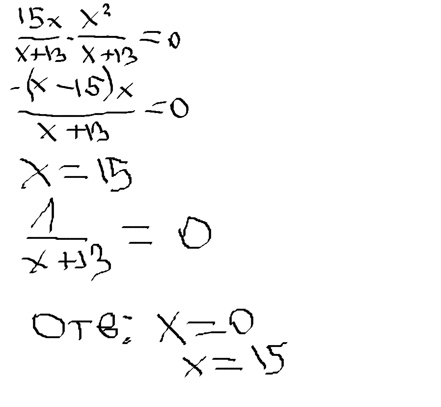
вот,писала быстро,получилось коряво
Приложения:

Ответ дал:
0
http://znanija.com/task/15177007 с этим не поможете?
Вас заинтересует
2 года назад
2 года назад
7 лет назад
7 лет назад
10 лет назад
10 лет назад
10 лет назад