Корни. Решите пожалуйста. Это очень важно, а то я во многом не разбираюсь. Задания на листке.
Приложения:
Ответы
Ответ дал:
0
Разберёшься...я надеюсь...
Приложения:
Ответ дал:
0
Спасибо большое!
Ответ дал:
0
Пожалуйста!
Ответ дал:
0
1
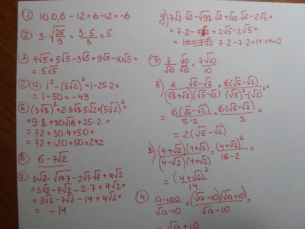
а)10*0,6-12=6-12=-6
б)3√(25/9)=3*5/3=5
в)4√5+5√5-3√5+9√5-10√5=5√5
2
а)1²-(5√2)²=1-50=-49
б)9*8+30√16+25*2=72+120+50=242
в)7√2-6
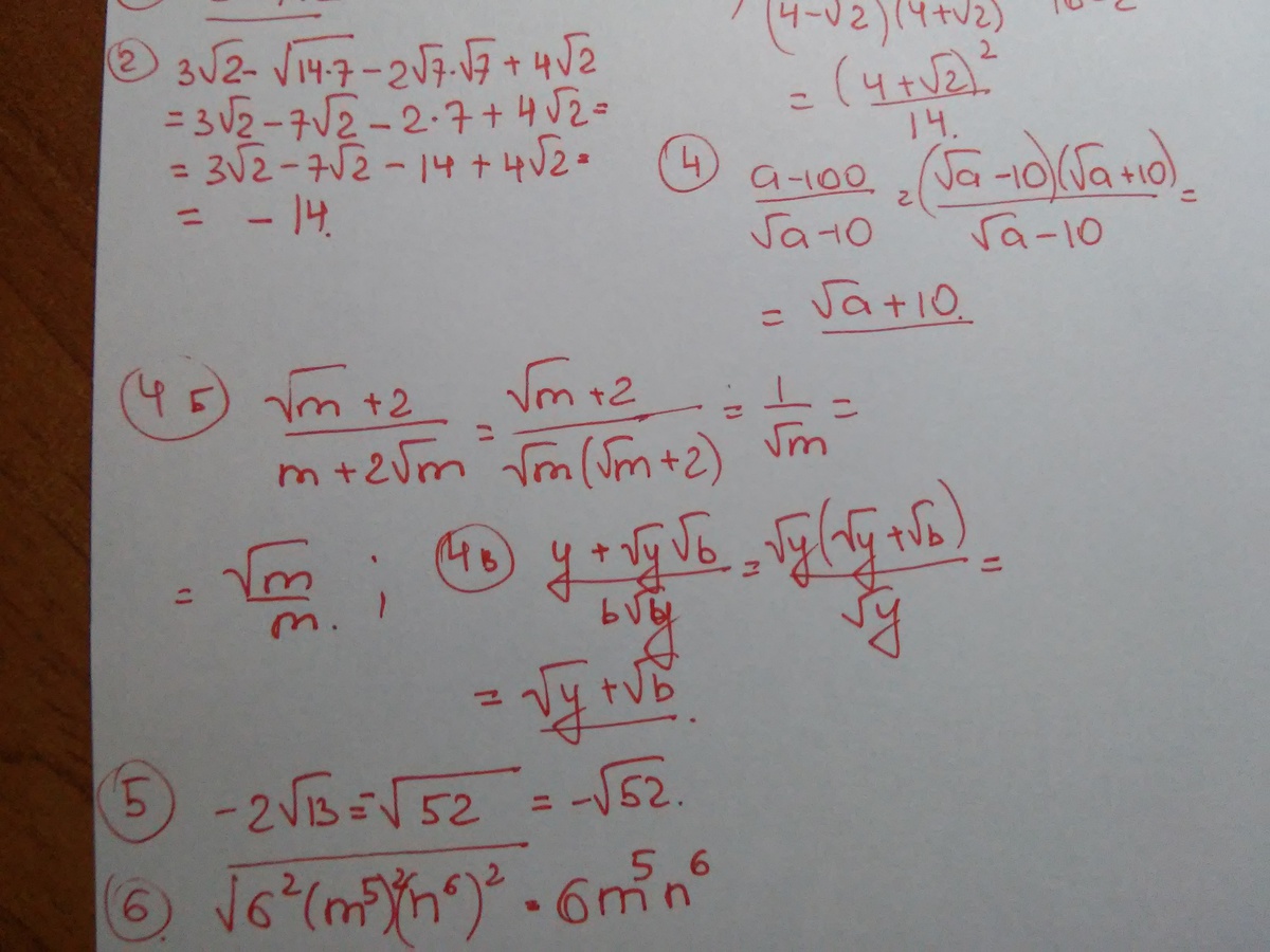
г)3√2-7√2+14+4√2=14
д)7*2-√196+√20-2√5=14-14+2√5-2√5=0
3
а)7√10/10
б)6(√5-√2)/(5-2)=2(√5-√2)
в)(4+√2)²/(16-2)=(16+8√2+2)/14=(18+8√2)/14=(9+4√2)/7
4
а)(√а-10)(√а+10)/(√а-10)=√а+10
б)(√m+2)/√m(√m+2)=1/√m
в)√у(√у+√b)/b√у=(√y+√b)/b
5
a
1)-√(4*13)=-√52
2)
б)

2)20b²√2
3)
а)10*0,6-12=6-12=-6
б)3√(25/9)=3*5/3=5
в)4√5+5√5-3√5+9√5-10√5=5√5
2
а)1²-(5√2)²=1-50=-49
б)9*8+30√16+25*2=72+120+50=242
в)7√2-6
г)3√2-7√2+14+4√2=14
д)7*2-√196+√20-2√5=14-14+2√5-2√5=0
3
а)7√10/10
б)6(√5-√2)/(5-2)=2(√5-√2)
в)(4+√2)²/(16-2)=(16+8√2+2)/14=(18+8√2)/14=(9+4√2)/7
4
а)(√а-10)(√а+10)/(√а-10)=√а+10
б)(√m+2)/√m(√m+2)=1/√m
в)√у(√у+√b)/b√у=(√y+√b)/b
5
a
1)-√(4*13)=-√52
2)
б)
2)20b²√2
3)
Приложения:
Вас заинтересует
3 года назад
3 года назад
8 лет назад
10 лет назад