Ответы
Ответ дал:
0
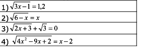
ОДЗ можно и не писать, но тогда обязательно корни ПРОВЕРЯТЬ,
подставляя в данное уравнение...
подставляя в данное уравнение...
Приложения:

Ответ дал:
0
Спасибо, огромное
Ответ дал:
0
http://znanija.com/task/15195670 http://znanija.com/task/15204951 Можете тут тоже балы получить
Ответ дал:
0
мне баллы не нужны)))
Ответ дал:
0
рада была помочь... баллы Вам "вернула"))
Вас заинтересует
2 года назад
7 лет назад
7 лет назад
10 лет назад
10 лет назад