Ответы
Ответ дал:
0
нужно выразить что-то из чего-то.
например
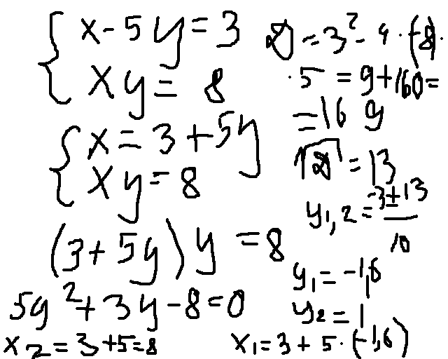
х=3+5у
ху=8
вместо х во второе уравнение подставляем:
х=3+5у
(3+5у)*у = 8
потом считаем и из второго уравнения получаем у, затем его подставляем в первое уравнение системы и получаем ответ :)
Ответ дал:
0
решать методом подстановки выражаем и первого переменную икс и подставляем
Приложения:

Вас заинтересует
2 года назад
10 лет назад
10 лет назад