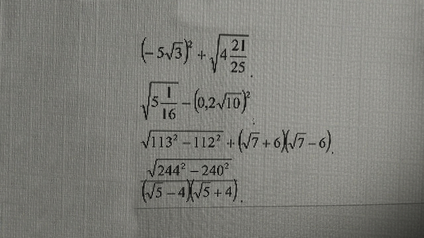
Помогите, пожалуйста, с алгеброй! 8 класс. Желательно подробным решением. Прикрепляю фото.
Приложения:

Ответы
Ответ дал:
0
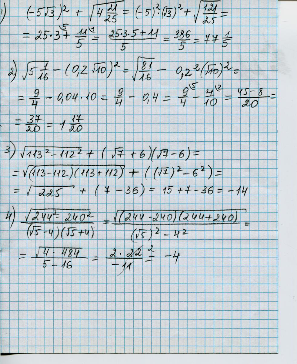
решение смотри на прикрепленном изображении
Приложения:

Ответ дал:
0
Огромнейшее, тебе, спасибо ♡
Вас заинтересует
2 года назад
2 года назад
7 лет назад
7 лет назад
10 лет назад
10 лет назад
10 лет назад