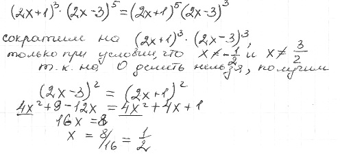
Решите уравнение:(2x+1)в 3 степени (2x-3)в 5 степени=(2x+1)в 5 степени(2x-3)в 3 степени -это все одно уравнение
Ответы
Ответ дал:
0
ответ у меня вышел х = 1/2 = 0,5
Приложения:

Вас заинтересует
2 года назад
2 года назад
8 лет назад
10 лет назад
10 лет назад
10 лет назад