• Предмет: Алгебра
  • Автор: Shee
  • Вопрос задан 11 лет назад

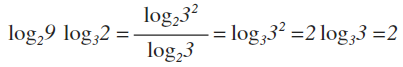
вычислите  log₂9*log₃2=

Ответы

Ответ дал: palilov2436
0

решение смотри во вложении

Приложения:
Вас заинтересует