Ответы
Ответ дал:
0
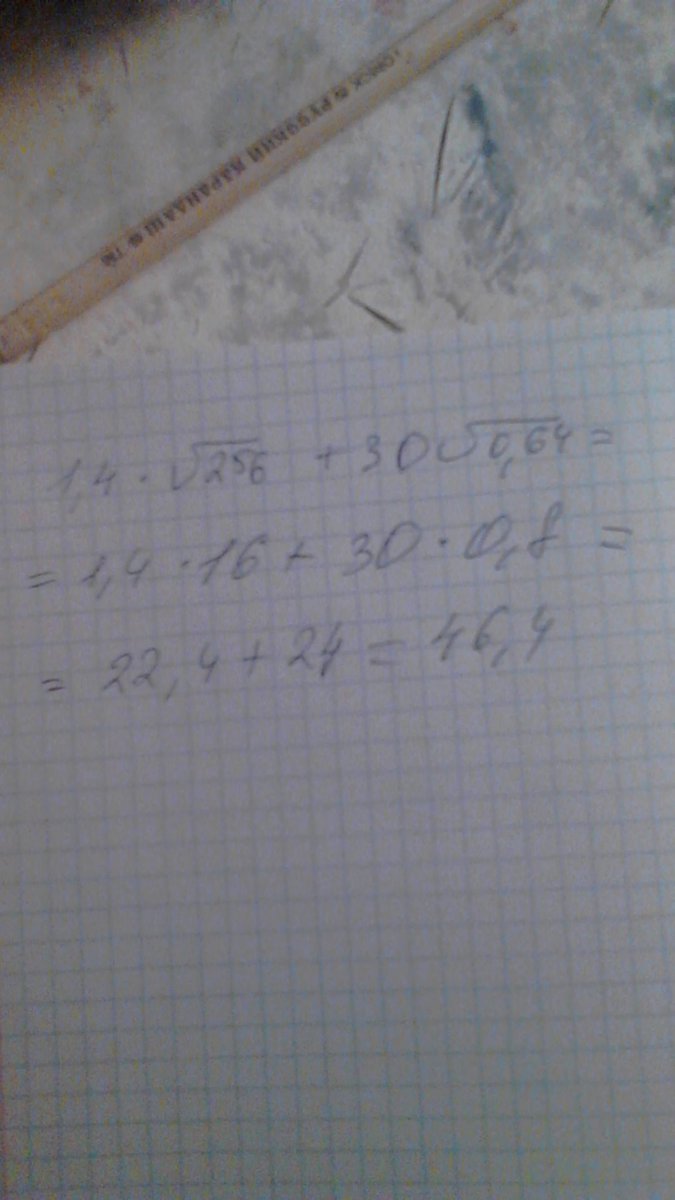
лень писать, решила по-быстрому)
Приложения:

Ответ дал:
0
Странно, а у меня получилось 244...
Ответ дал:
0
я случайно прочитала 1/4 как 1,4 ох лол
Ответ дал:
0
я случайно прочитала 1/4 как 1,4 ох лол
Ответ дал:
0
Ничего, все равно большое вам спасибо! И вы не лох.
Ответ дал:
0
1/4*16+30*0,8=4+24=28
Приложения:

Вас заинтересует
2 года назад
2 года назад
7 лет назад
10 лет назад
10 лет назад
10 лет назад