• Предмет: Математика
  • Автор: stella201
  • Вопрос задан 10 лет назад

x^2(-x^2-49)<49(-x^2 - 49) СРОЧНО!

Ответы

Ответ дал: UluanaV
0
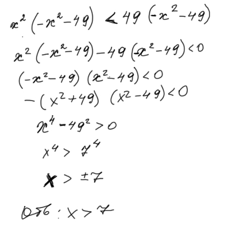
Решение в прикрепленном файле.
Приложения:
Ответ дал: Аноним
0
Это решение неправильно!
Ответ дал: Аноним
0
Я решил и ответ будет состоять из двух интервалов: х>7 и х<-7
Ответ дал: Аноним
0
Там два интервала. UluanaV, ты потерял решение второго интервала.
Ответ дал: UluanaV
0
Я во второй снизу строчке ошибку сделала. Икс в четвертой степени будет больше семи в четвертой степени, если икс будет больше семи или меньше минус семи. Так что решение верно. Ответ неверно записан. Поторопилась. Бывает. Молодец, что заметил ошибку.
Ответ дал: Аноним
0
Да, это я погорячился. Хотел сказать, что ответ неправильный, а не решение. Ну ты прям неплохо решила)
Вас заинтересует