Даю максимальное кол-во баллов!
Мне, черт подери, до завтра надо написать, но мозг предал меня.
все, кроме 4 и 6
1) x + sqrt(7 + sqrt(x^2 - 6x + 9)) = 4
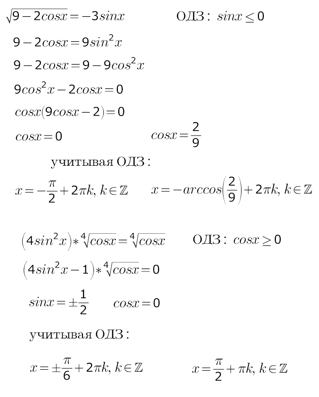
2) sqrt(9-2cos(x)) = -3sin(x)
3) (4sin^2(x)) * sqrt^4(cos(x)) = sqrt^4(cos(x))
4) sqrt^6((4 + 2 * sqrt3)^3) - sqrt^4(( 4 - 2 * sqrt3)^2)
5) (x^2-1)*sqrt(x^2 - 4x + 3) >= 0
6) V(3x+4) > 2x - 4
7) Найдите наименьшее значение функции
y = sqrt(x^2 - 18x + 117)
Приложения:
Ответы
Ответ дал:
0
разбирайтесь с 1) и 5)
если есть вопросы--задавайте...
+тригонометрия...
если есть вопросы--задавайте...
+тригонометрия...
Приложения:
Ответ дал:
0
как же я сразу подкоренное выражение не догадался свернуть в формулу! Спасибо)
Ответ дал:
0
на здоровье!!
Ответ дал:
0
почти 4 и 6
4) (4+2√3)³ ^(1/6) - (4-2√3)² ^(1/6) = ((√3 +1)²)³ ^(1/6) -((√3-1)²)² ^(1/4) =
(√3 +1)⁶ ^(1/6) -(√3-1)⁴) ^(1/4) = (√3 +1) -( √3 -1) = 2.
* * *√3 -1> 0
-------
6) √(3x+4) > 2x -4 ⇔[ {2x-4<0 , 3x+4≥0 ; {2x -4≥0 , 3x+4 >(2x-4)².⇔
[ {x<2 , x≥ -4/3 ; {x≥2 , 4x² -19x+12 < 0.⇔[ x∈[-4/3;2) ; {x≥2, 4(x-3/4)(x-4) <0. ⇔
[ x∈[-4/3;2) ; {x≥2, x∈(-3/4;4) . ⇔ [ x∈[-4/3;2) ; x∈[2;4) .⇔ x ∈ [ - 4/3 ; 4).
* * * [ {2x-4<0 , 3x+4≥0 ; {2x -4≥0 , 3x+4 >(2x-4)² .↔Совокупность двух систем неравенств * * *
-------
7) у =√(x² -18x +117) = √( 36 +(x -9)² ) ⇒miny =√36=6 ,если x=9 .
4) (4+2√3)³ ^(1/6) - (4-2√3)² ^(1/6) = ((√3 +1)²)³ ^(1/6) -((√3-1)²)² ^(1/4) =
(√3 +1)⁶ ^(1/6) -(√3-1)⁴) ^(1/4) = (√3 +1) -( √3 -1) = 2.
* * *√3 -1> 0
-------
6) √(3x+4) > 2x -4 ⇔[ {2x-4<0 , 3x+4≥0 ; {2x -4≥0 , 3x+4 >(2x-4)².⇔
[ {x<2 , x≥ -4/3 ; {x≥2 , 4x² -19x+12 < 0.⇔[ x∈[-4/3;2) ; {x≥2, 4(x-3/4)(x-4) <0. ⇔
[ x∈[-4/3;2) ; {x≥2, x∈(-3/4;4) . ⇔ [ x∈[-4/3;2) ; x∈[2;4) .⇔ x ∈ [ - 4/3 ; 4).
* * * [ {2x-4<0 , 3x+4≥0 ; {2x -4≥0 , 3x+4 >(2x-4)² .↔Совокупность двух систем неравенств * * *
-------
7) у =√(x² -18x +117) = √( 36 +(x -9)² ) ⇒miny =√36=6 ,если x=9 .
Приложения:
Ответ дал:
0
ради денег
Ответ дал:
0
если бы это были деньги...
Ответ дал:
0
но все же я их уже сделал
Ответ дал:
0
хотя все равно спасибо за старания
Вас заинтересует
3 года назад
3 года назад
8 лет назад
10 лет назад
10 лет назад
11 лет назад